博德之门3

减少经验值获取曲线 – 75% – 最大等级 24 (Reduced Experience Gain Curve – 75% – Máx. LvL 24)

5.0 (0人评)
0 次
v1.0
4 热度

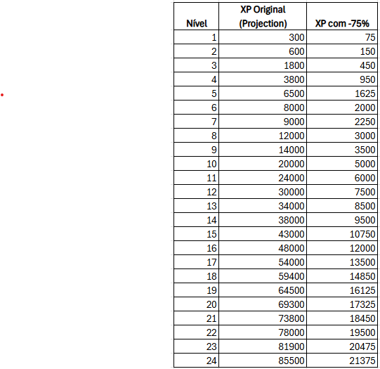
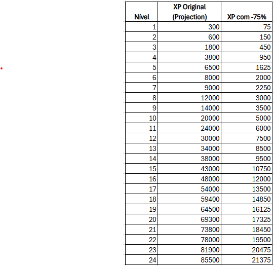
以达到12级的经验值增长曲线为基础。
从这一点开始,制作了到24级的经验值增长预测,并减少了75%。
因此,通过104,625点经验值可以达到24级。

此模组仅更改经验值获取曲线并增加最大等级至24级。
此模组不会改变职业进度;因此,职业最多只能升到12级,需要多职业才能到达24级。
超过12级后升级会导致黑屏,除非启用了扩展职业进度的模组。


The experience gain curve up to level 12 was used as a basis.
From this, a projection of experience gain up to level 24 was made and reduced by 75%.
Thus, with 104.625 XP points, it will be possible to reach level 24.

This mod only changes the experience gain curve and increases the maximum level to 24.
This mod does not change class progression; therefore, classes go up to level 12, making multiclassing necessary to reach level 24.
Leveling beyond level 12 will result in a black screen if a mod that extends class progression beyond level 12 is not enabled.